2025年5月,做爱片
高瑞昌教授团队在国际期刊《Food Chemistry》(Q1,IF2025=8.5)上发表主题为“'Cuckoo in the nest': L-arginine promoted the migration of Na+ to ameliorate the gel quality of low salt fish balls”的研究型论文。做爱片
食品学院硕士研究生刘元秀为第一作者,高瑞昌教授、石彤实验师为通讯作者。
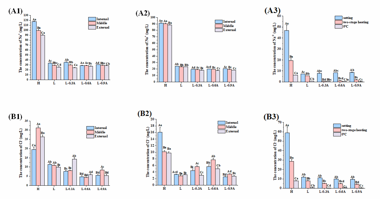
鱼丸加工中常添加2%-3%的盐以促进肌原纤维蛋白溶解和凝胶形成,但高钠饮食的健康风险及消费者对健康饮食的需求促使低盐配方的研究。在鱼丸水浴加工过程中,Na⁺和Cl⁻会与水交换迁移从而进一步降低低盐鱼丸品质,本研究制备了添加(0.3%、0.6%、0.9%)/不添加精氨酸(L-Arg)的低盐鱼丸,利用能量色散 X 射线光谱(EDS)、等离子体电感耦合(ICP-MS)等技术,探究了L-Arg 对鱼丸不同部位(内、中、外)在二段式加热过程中离子迁移及鱼丸品质的影响,从离子迁移的角度丰富了L-Arg 对鱼糜制品减盐保质的理论。
结果显示,随着Na+和Cl-的迁移,鱼丸的持水性从内部到外部逐渐降低,微观结构逐渐恶化。L-Arg通过 “鸠占鹊巢” 效应与Na+竞争,并减少了Cl-的流失,促进其发挥静电屏蔽作用;同时,“鸠占鹊巢” 效应促进了肌原纤维蛋白二级结构从α-螺旋向其他二级结构的转变,有助于二硫键的增加和疏水基团的暴露。这些变化为后续蛋白质分子间的聚集和交联提供了更有利的条件,从而形成致密的三维凝胶网络结构。未来需要通过分别建立含盐离子或 L-Arg的鱼糜体系,进一步研究 L-Arg与盐离子影响鱼糜凝胶品质的机制差异。
部分实验结果如下:

图1 L-Arg对不同加热阶段(1: setting; 2: two-stage heating)鱼丸不同部位的Na+(A)和Cl-(B)浓度的影响;A3和B3分别为不同加热阶段后汁液中的Na+和Cl-浓度的变化
(A)

(B)

图2 L-Arg对不同加热阶段(A: setting; B: two-stage heating)的鱼丸不同部位(I: internal; M: middle; E:external)微观结构的影响

图3 机理分析图
上述工作得到国家自然科学基金项目(32202090,U20A2067)、江苏省自然科学基金项目(BK20220520)和博士后科研基金项目(2022M721389)的资助。
原文链接://doi.org/10.1016/j.foodchem.2025.144728